在國家政策與行業技術的驅動下,新能源裝機規模持續高增,導致其在能源結構及電力結構中的占比不斷擴大。但新趨勢下電力系統也被迫面臨著轉動慣量下降、頻率控制困難等新挑戰,需要新能源場站參與電力系統調節。
近兩年國家相繼出臺了國標《GB_T40595-2021并網電源一次調頻技術規定及試驗導則》及《GB_T19963.1-2021風電場接入電力系統技術規定》等標準,明確規定了新能源場站需具備一次調頻及慣量響應功能,以及相關技術要求。
禾望電氣聚焦改善新能源場站的涉網特性,為場站調頻提供hopePower新能源場站快速調頻系統(即禾望hopePower系統)。在傳統新能源場站功率管理系統基礎上,增加了場站一次調頻、場站慣量調頻、風儲/光儲協同控制以及場站快速調壓等功能。設備嚴格遵循最新國標及地方電網對新能源場站的技術規范和要求,兼顧響應速度和響應精度,適應新能源場站多樣性的工作模式,性能優異,穩定可靠。

禾望hopePower系統整機
此外,禾望電氣充分考慮了現有新能源場站可能存在的應用場景,可針對不同配置的新能源場站提供“嵌套式”的定制化產品解決方案——禾望新能源場站快速調頻解決方案。以功能嵌套的方式,補充、完善新能源場站的涉網特性功能。
解決方案特點如下:
01、支持多種通信協議與接口,可深度復用現場原有網絡,對現場網絡改造需求幾乎為零;
02、適配多類型風電整機/光伏逆變器/儲能變流器通信接口,可實現相同廠家設備的快速接入;
03、基于模塊化設計,通過功能模塊配置,僅需一套設備即可滿足場站各種應用場景的組合需求;
04、提供多種與發電機組SCADA/能管系統協同控制方案,可最大程度上復用場站原有的接口與設備;
05、可根據場站后續新增配置,快速實現相關功能拓展,如光儲、風儲聯合控制等,無需新增設備;

禾望hopePower系統全功能拓撲圖
針對光伏電站通信結構復雜及通信時延長等問題,禾望電氣提出以下兩種解決方案:一是復用數采裝置,但要求數采裝置可進行接口升級;二是增加快頻終端,原有通信設備無需進行任何改造,最大程度減少改造成本。

禾望hopePower系統光伏電站快速調頻解決方案
在產品資質方面,禾望hopePower系統緊跟最新國標的相關規定迭代升級,并兼容國內各地方電網的技術要求。目前產品已通過國網型式認證及多個地方電網的調頻設備入網認證試驗;

在項目應用方面,禾望電氣解決方案批量應用于云南、甘肅、吉林、河北等地風電場和光伏電站,進行場級一次調頻及慣量調頻試驗。禾望電氣是國內首批通過新國標要求的新能源場站一次調頻及慣量調頻試驗的新能源場站快速調頻設備提供商。


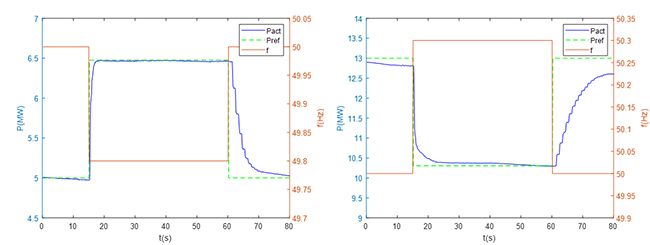
禾望hopePower系統風電場慣量調頻實測波形
在河北武強、寧晉和平山等光伏電站項目應用中,現場測試結果優于《GB_T40595-2021并網電源一次調頻技術規定及試驗導則》中對光伏電站一次調頻的相關要求,達到啟動時間<1s,響應時間<2s,調節時間<4s。

禾望hopePower系統光伏電站一次調頻實測波形
作為新能源領域的領先企業,禾望新能源場站涉網特性控制設備包括新能源場站快速調頻調壓系統、儲能EMS系統、風機/光伏集群控制系統,且已與多個業內知名風電整機/逆變器廠家合作,協同實現新能源場站涉網特性提升。
面對未來發展,禾望電氣將采用平臺化的設計思路,對新能源行業深度與廣度延伸,提供更豐富、更具競爭力的技術、產品和系統,助力新型電力系統構建。